购买说明:
1.所有视频均是加密的(一机一码加密), 只能在一台电脑或一部手机上播放。
2.目前不再销售套餐一,只销售套餐二。
3.咨询QQ:2696670126; 3505993547 咨询电话:18801294486
试读链接:
https://www.bilibili.com/video/av1900741049/
https://pan.baidu.com/s/1UUonRUSY5HoH-WFWuc3TFQ提取码:bvvt





















原价:
¥239.00
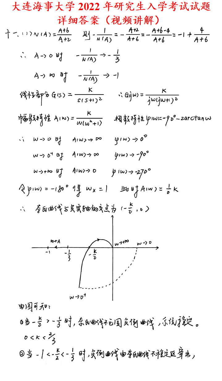
大连海事大学805自动控制原理考研真题答案网学天地大连海大控制工程自动化电气工程
现价:
¥
239.00
