主图1-山西大学自控
03-真题详解
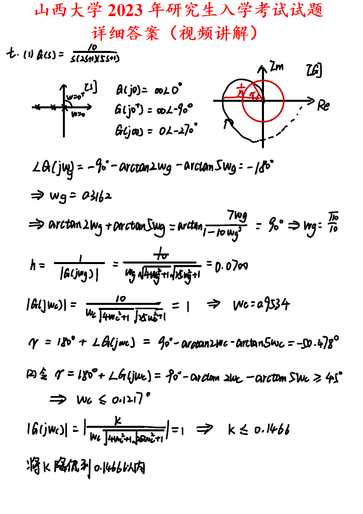
首页    自动化类    山西大学865自动控制原理考研真题答案山大自动化考研网学天地

购买说明:

1.所有视频均是加密的(一机一码加密),  只能在一台电脑或一部手机上播放。

2.目前不再销售套餐一,只销售套餐二。

3.咨询QQ:2696670126;  3505993547    咨询电话:18801294486

 

试读链接:

 https://www.bilibili.com/video/av662763558/

 https://pan.baidu.com/s/1fvlKYf-d8nKeUMybPRJjmg提取码:firz

 

原价: ¥219.00

山西大学865自动控制原理考研真题答案山大自动化考研网学天地

在线客服1
在线客服2
现价:
¥ 219.00
加入购物车

1 ¥110.00

请选择规格